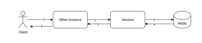
1.7.4. KEYSIS Kullanan Uygulamalar için Request Flow
KEYSIS'i ve ilgili providerlarını kullanan instance larda akış aşağıdaki gibidir: 
- Client /login haricinde herhangi bir path'e istek gönderir.
- Kullanıcı güvenlik ve yetki kontrolü (security check) yapılır. Kontrol başarılı ise bir sonraki adıma geçilir. Değil ise 3. adım ile kullanıcı hata mesajı ile bilgilendirilir.
- Kullanıcı session bilgisi önbelleğe (cache) işlenir.
- İşlenen cache bilgisi response olarak dönülür.
- Kullanıcının session ile ilgili gerçekleştirdiği isteğin cevabı dönülür.
- İlgili isteğin response bilgisi kullanıcıya dönülür. Adımlardan birinde meydana gelecek hata durumunda, hata cevaba eklenerek kullanıcı tarafına iletilir.